近日,经济管理学院李昊洋教授(第一作者)、中央财经大学吴楠、康奈尔大学Jinhua Zhao教授的合作论文“Markup dispersion, industry coverage and the cost of environmentalregulation” 发表于Journal of Environmental Economics and Management(JEEM)上。

传统环境经济学文献认为,所有污染者均应被规制至边际减排成本相等的均衡。相反地,本文为“部分覆盖”的规制模式(即,仅对部分污染行业实施环境监管)提出了一个可能的适用情景。当较清洁的行业具有较高的市场势力时,环境规制通过引导生产要素从污染较重的行业流向清洁行业,缓解不完全竞争所带来的成本扭曲。选择哪些行业规制取决于行业间市场势力与污染程度的相关性,而非简单依据排放量大小选取。当减排目标适中时,覆盖部分行业的环境规制可能优于全行业覆盖。本文将该模型应用于中国的环境规制实践,结果表明,相较于全行业覆盖,仅规制部分行业可显著降低减排成本。
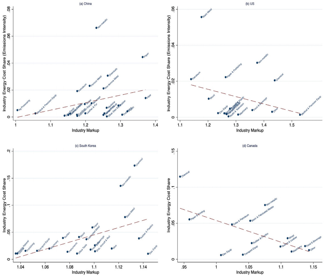
李昊洋教授表示消费者对于不同行业产品的差异化偏好和行业国际贸易参与度之间的差异通常导致行业之间的市场势力强弱存在显著差异。次优环境规制理论认为,由于市场势力较高的行业通常较低(以此获取垄断利润),激励这些行业提高产量对社会有益。因此,对这些行业的环境规制应适当放松。另一方面,在现实中,出于公平性考量,环境政策通常仅覆盖排污量最高的部分行业。如,欧盟与中国两大碳排放许可证交易市场都只覆盖了二氧化碳排放量最高的部分行业。然而,以制造业行业为例,如下图所示,行业排污强度与行业的市场势力之间通常存在显著的相关性。此时,若较清洁的行业具有较高的市场势力,环境规制通过引导生产要素从污染较重的行业流向清洁行业,缓解不完全竞争所带来的成本扭曲。

图1 各国行业间市场势力与排污强度的相关性
基于以上背景,李昊洋教授构建了一个包含异质性产业的一般均衡模型。基于这一模型,文章从理论上推导了社会边际减排成本的表达式,并研究得出被规制的行业间市场势力与排污强度的协方差是减排成本的重要影响因素。选择哪些行业规制取决这一相关性,而非简单依据排放量大小选取;当减排目标适中时,覆盖部分行业的环境规制可能优于全行业覆盖。本文将该模型应用于中国的环境规制实践,结果表明,相较于全行业覆盖,仅规制部分行业可显著降低减排成本。

图2 最优“部分行业覆盖”环境政策相对于全行业覆盖政策的成本节约比例
Journal of Environmental Economics and Management是由Elsevier出版的环境经济学和管理领域的国际期刊,自1974年创刊以来,长期关注环境外部性的评估与规制策略研究,是资源环境经济学领域公认的国际顶级期刊,位列《FMS管理科学高质量期刊推荐列表2023》A等级,其文章被广泛引用,对该领域的研究和实践产生了重要影响。
阅读次数:403
【 转载本网文章请注明出处 】