党务人事

COLLEGE OF LIFE SCIENCES
分党校
人事工作
支部设置
党建园地
工会工作
当前位置: 首页--党务人事--分党校
分党校

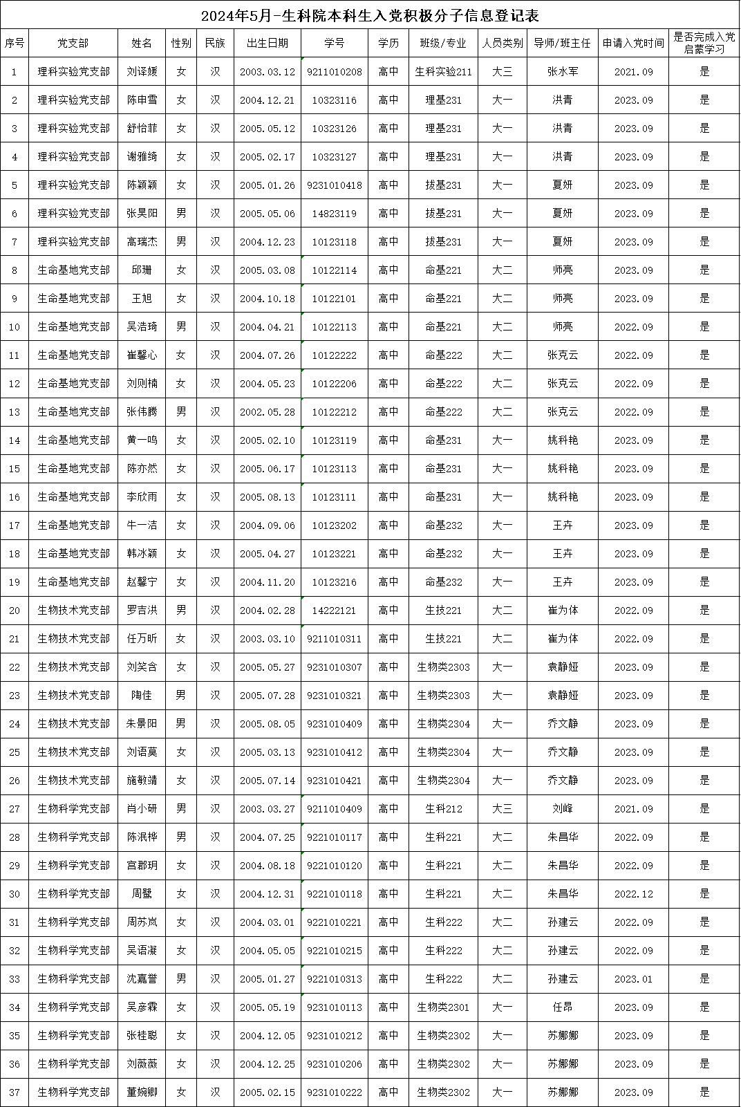
生命科学学院2024年5月入党积极分子推优公示

发布时间:2024年05月20日 10:23 | 编辑:李娜 | 作者:


根据生命科学学院学生党员发展工作安排,经由各团支部推选,党支部讨论,结合个人成绩、综合测评以及任职、获奖等综合表现,现将20245月入党积极分子推优名单进行公示。


如有任何疑问,请于2024524日前向学院团委、学院党委或校党委组织部反映。

学院团委电话:84396673

学院党委电话:84396542

 

                                                                                                           中共ios版雷竞技官网生命科学学院委员会

                                                                                                                                2024520




 

南京市玄武区卫岗1号 邮政编码:210095 电话:(0086-25)84395869 苏ICP备08451234号

Copyright © ios版雷竞技官网生命科学学院

Baidu
map