2025年寒假社会实践暨优秀学子回访母校活动优秀团队、优秀个人获奖名单公示
发布人: 招生办 发布日期: 2025年04月17日 10:33 浏览次数:
根据《关于开展2025年寒假社会实践暨优秀学子回访母校活动的通知》要求,现将优秀团队、优秀个人获奖名单予以公示。
优秀团队获奖名单:

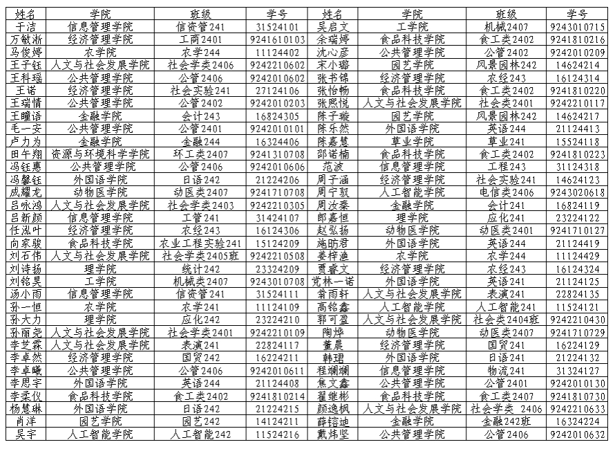
优秀个人名单(按姓氏笔画排列):

如对以上名单有异议,请于2025年4月18日前与学生工作部(处)联系,联系人:黄瑾、许可,联系电话:025-84395708。
学生工作处、党委学生工作部
2025年4月17日
根据《关于开展2025年寒假社会实践暨优秀学子回访母校活动的通知》要求,现将优秀团队、优秀个人获奖名单予以公示。
优秀团队获奖名单:

优秀个人名单(按姓氏笔画排列):

如对以上名单有异议,请于2025年4月18日前与学生工作部(处)联系,联系人:黄瑾、许可,联系电话:025-84395708。
学生工作处、党委学生工作部
2025年4月17日